전국 무인 교통 단속카메라 지도 정보
공공데이터포털 '전국무인교통단속카메라표준데이터', 카카오 '로그인, 지도, 블로그, 검색(이미지)', 네이버 '블로그, 검색(이미지)', Google 로그인 이용하여 개발되었습니다
버전 : 4 / 2024-12-20 03:06:23
프레드페리 여성용 래글런 슬리브 패디드 재킷 J1118 후기 및 스타일링 팁 안녕하세요 여러분! 오늘은 프레드페리의 여성용 래글런 슬리브 패디드 재킷 J1118을 직접 입어보고 느낀 솔직한 후기를 들려드릴게요...
크레센트(20251231)
앰프수리 LIVE BQ5300 라이브 노래방 앰프 출장수리 점검수리 J1118 #부산라이브앰프수리 스피커에서 잡음이나요 BQ5300 라이브앰프수리 연산동수리 J1118 이력관리합니다 앰프수리 LIVE BQ5300...
부산제일미디어(20250522)
매물번호 J1118 매물사진 매물정보 소재지 대구광역시 수성구 지산동 총층수 총 3층중 / 1층 면적 22평 / 74.38㎡ (만원단위) 가격 2000/80 종류 2종근린생활시설 거래형태 상가임대계약 / 월세 입주 가능일자...
복덕방정선생(20260105)
너무 예뻐요 정말 ㅎㅎ 귀여운 연희 ㅎㅎ 뭐가 그리 신났을까~ ㅎ 너무너무 예쁜 이연희~~ 조선명탐정2 라이브톡 이연희(영상) 사진, 동영상 출처 mwooo_h 인스타그램 masaki_aiba cy_movie yeol_9 veribb amazing_j1118
좋은사람님의블로그(20150212)
모던 화이트 (J1101) 클라로 오크 (J1113) 화이트 오크 (J1103) 애쉬 에버닌 (J1114) 아이보리 오크 (J1102) 프렌치 바닐라 (J1115) 마일드 오크 (J1106) 제네바 오크 (J1116) 라피네 오크 (J1117) 디어 오크 (J1118)...
KCC바닥재 경기총판 원진상재 님의 블로그(20231115)
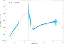
그림 5는 이러한 블랙홀 쌍성의 하나인 J1118의 엑스선 촬영 사진으로, 은하 중심의 블랙홀에서처럼... 블랙홀 쌍성(J1118)에서 방출되는 제트의 엑스선 사진. 블랙홀이 주계열 항성이나 준거성과 짝을 이룬...
안꾼의 투자 이야기(20040510)
1109담이맘 입니다 https://m.blog.naver.com/j1118_/223195085260 작가님은 정말 전문가 그 자체였어요! 돌잔치 시작 1시간 30전에 도착하셨고 오시자마자 아기 잠은 잤는지 밥은 먹었는지 컨디션부터 체크 합니다ㅎㅎ 이날...
뿌요님의블로그(20240124)
XTE J1118+480 HD 189733 b Cygus X-1 Alpha Centauri C 그리고 ✨C/2022 E3 (ZTF)✨ 우주에 관심을 좀 가져보려고 하니 천체 이름이 전부 알파벳과 숫자의 나열...! 뉴스를 보니 혜성이 온다고는 하는데 이름이 뭐...
APRIL-LOG 사월로그(20230208)
J1118 - - J1118 - 오늘의 말씀 태초에 하나님이 천지를 창조하시니라 땅이 혼돈하고 공허하며 흑암이 깊음 위에 있고 하나님의 영은 수면 위에 운행하시니라 하나님이 이르시되 빛이...
아름다운 세상(20221119)
VLBA라는 전파망원경 배열과 로시 X선 우주망원경으로 움직임이 포착됐던 XTE J1118+480이라는 이름의... 흥미로운 사실은 XTE J1118+480이 수십억년 된 구상성단(보통 은하 외곽에 위치하는 구형의 별무리)에서...
나아가는 삶(20040614)
등록된 리뷰가 없습니다.
첨부파일